首页
青禾文化
公司简介 企业文化 发展历程
产品介绍
全国统考 管理类联考 同等学力申硕 海外硕士
学员风采
新闻动态
联系我们
  • 首页
  • 青禾文化

    公司简介
    企业文化
    发展历程
  • 产品介绍

    全国统考
    管理类联考
    同等学力申硕
    海外硕士
  • 学员风采

  • 新闻动态

  • 联系我们

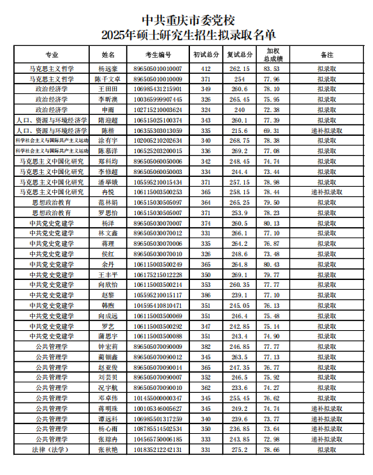
    重庆市委党校25考研拟录取名单(码住)!

    2025-09-02 17:53:22

    重庆市委党校2025考研拟录取名单



    篇幅有限,需要完整版的同学以及26考研详细咨询

    可扫描下方二维码


    返回列表
 
  • 青禾文化

    公司简介 企业文化 发展历程
  • 产品介绍

    全国统考 管理类联考 同等学力申硕 海外硕士
  • 新闻动态

    公司新闻 行业新闻 媒体报道
  • 联系我们

    联系我们

总部地址:成都市锦江区走马街55号友谊广场B座2211

分校地址:四川省成都经济技术开发区(龙泉驿区)成龙大道二段988号写字楼1栋2单元21楼2102号

邮编:610000

邮箱:kefu@qinghekaoyan.com

微信公众号

友情链接: 清华大学 北京大学 复旦大学
Copyright 2024-2025 青禾文远教育咨询有限公司 版权所有    蜀ICP备2024096656号